新着情報

滋賀も「まん延防止」対象に追加へ

三日月知事は、「まん延防止等重点措置」の適用エリアを感染が拡大している大津・湖南地域に加えて他の地域をどうするかや、飲食店への時短要請などについて早急に検討するとしています。

期間は、8月8日(日)から31日(火)までです

 

2021年08月05日

緊急事態措置及びまん延防止等重点措置に係る雇用調整助成金のお知らせ

現在の雇用調整助成金においては、緊急事態宣言の対象区域、又はまん延防止等重点措置を実施すべき区域の公示に伴い、緊急事態宣言の実施区域、又はまん延防止等重点措置の対象区域(職業安定局長が定める区域)において都道府県知事による営業時間の短縮等の要請等に協力する企業について、助成率を最大10/10、日額上限額を15,000円とする特例を設けられています

 

2021年08月05日

令和3年度滋賀県離職者早期再就職支援事業助成金

滋賀県では、令和3年度においても新型コロナウイルス感染症の影響により離職された方等の再就職を支援するため、正規雇用労働者(正社員)として雇い入れる中小企業や個人事業主等に対して、助成金を交付する「令和3年度滋賀県離職者早期再就職支援事業助成金」を実施しています。
≪今回の募集≫
  ・雇用日が令和3年10月1日から同年11月30日までのものが対象となります。

新たに雇用した労働者(県内正規雇用労働者)1人につき、雇用に要する経費(※)と60万円を比較して低廉な額が助成されます。

ご相談は当事務所へお気軽にお問い合わせください。

2021年10月05日

令和4年1月以降の雇用調整助成金の特例措置等について

新型コロナウイルス感染症に係る雇用調整助成金・緊急雇用安定助成金、新型コロナウイルス感染症対応休業支援金・給付金の特例措置について、令和4年1月~3月の具体的な内容は以下の通りです。ただし、現時点の政府としての方針を表明したものです。

また、厚生労働省は、雇用調整助成金について来年1月から確認を厳格化する方針を決定しました。
これまで初回申請時だけだった業績悪化を証明する書類の提出を2回目以降も求めるとするとのこと。
厚労省の審議会などが、業績が回復して要件を満たさなくなった企業への支給の可能性を指摘していたためです。

2021年11月20日

令和4年1月1日から健康保険の傷病手当金の支給期間が通算化

傷病手当金の支給期間が、支給開始日から「通算して1年6か月」になります。
・同一のケガや病気に関する傷病手当金の支給期間が、支給開始日から通算して1年6か月に達する日まで対象となります。
・支給期間中に途中で就労するなど、傷病手当金が支給されない期間がある場合には、支給開始日から起算して1年6か月を超えても、繰り越して支給可能になります。

ただし、令和3年12月31日時点で、支給開始日から起算して1年6か月を経過していない傷病手当金(令和2年7月2日以降に支給が開始された傷病手当金)が対象です。

2022年01月21日

令和4年4月1日から中小企業に職場のパワーハラスメント対策が義務化されます。

2022年4月1日から中小企業もパワハラ防止法が義務化がされ、その一つとして従業員の「ハラスメント相談窓口」を設置し、ハラスメントに関する相談に対応する義務が生まれます。小規模の会社やお店では対応出来ないところもありますが、当事務所では会社さんと従業員さんの間に入った第三者としてトラブル対応窓口を代行させて頂きます。どうぞお気軽にお問い合わせください。

2022年03月01日

令和4年度の雇用保険料率変更について

• 令和4年4月から、事業主負担の保険料率が変更になります。
• 令和4年10月から、労働者負担・事業主負担の保険料率が変更になります。

 

2022年04月13日

令和4年3月大学等卒業者の就職状況(4月1日現在)

厚生労働省と文部科学省は、令和4年3月大学等卒業者の就職状況を共同で調査し、令和4年4月1日現在の状況を取りまとめました。
 取りまとめの結果、大学生の就職率は95.8%(前年同期差▲0.2 ポイント)となりました。

【就職率の概要】

  ● 大学(学部)は95.8%(前年同期差▲0.2 ポイント)
  ● 短期大学は97.8%(同+1.5 ポイント)
  ● 大学等(大学、短期大学、高等専門学校)全体では96.1%(同▲0.2 ポイント)
  ● 大学等に専修学校(専門課程)を含めると96.0%(同+0.2 ポイント)

 

2022年05月25日

実習生5人に違法残業

京都下労働基準監督署は、ベトナム人技能実習生5人を時間外労働の上限規制を上回って働かせたとして、6月14日付けで機械部品製造業の㈱竹村製作所(京都府京都市)と同社工場長を労働基準法第36条(時間外及び休日の労働)違反の疑いで京都地検に書類送検しました。同社は実習生3人に月100時間超の時間外労働をさせた疑い。ほかの2人は2カ月間の平均が月80時間を超えていました。

2022年06月29日

「着替えは労働時間ではない」と賃金払わず 飲食大手に是正勧告

 従業員が制服に着替える時間などの賃金を支払っていなかったとして、飲食大手フジオフードシステム が労働基準監督署から是正勧告を受けていたことがわかりました。厚生労働省のガイドラインでは、着替えなどの時間は労働時間に含むと定められています。従業員の女性は、同社が運営する商業施設内のカフェでパートとして勤務。更衣室での制服への着替えと店舗への移動で1日30分ほどかかるが、労働時間には含まれていないということを訴えていた。
 ユニオンは同社に、こうした時間分の賃金支払いを要求しましたが、会社側が「更衣室で着替えることは義務づけておらず、労働時間にはあたらない」として支払いを拒否したため、労基署に申告したということが判明しました。
 ユニオンによると、労基署は着替えなどの時間は労働時間にあたると認定。女性に対して過去2年分の未払い賃金を支払うよう、6月に同社へ是正勧告を出しました。ただ、現時点で未払い賃金は支払われていないとのことです。
 フジオフードは「まいどおおきに食堂」などを全国で800店以上展開する。同社側の代理人弁護士は是正勧告を受けたことは認めた上で、「今後の対応は検討している」と話しました。

2022年07月14日

令和4年度最低賃金額改定の目安

中央最低賃金審議会の小委員会は、1日、令和4年度の最低賃金(時給)の目安について、全国加重平均で31円引上げの961円にすると決めました。前年度比の上げ幅は過去最大で、伸び率は3.3%となります。物価上昇などによる影響を反映した形になったようです。

2022年08月10日

「うまい棒」製造メーカーで長時間労働の疑い 時間外120時間超

スナック菓子「うまい棒」を製造する茨城県常総市の菓子メーカー「リスカ」で違法な長時間労働があったとして、常総労働基準監督署は8月22日、法人としての同社と、武藤秀二社長を労働基準法違反の疑いで書類送検し、発表しました。
発表によると、同社は2021年1~11月、同市内にある石下工場の従業員9人に対し、時間外労働に関する労使協定(36協定)で定められた上限を超えて働かせた疑いがあったもよう。1カ月あたりの時間外労働が100時間を上回ったり、複数月の平均で80時間を超過したりし、最長で月に約120時間に及ぶ例があったとのこと。

最近の長時間労働の発覚は従業員やその家族からの情報提供により行われることが多いです。会社もバレないだろうという安易な考えを以って、従業員を雑に扱うとしっぺ返しとなり返ってきます。従業員を人財として大切に扱い、会社とお互いにウインウインの関係で有ってほしいものです。

2022年08月22日

最低賃金が改定されます

 厚生労働省から、令和4年度の「地域別最低賃金の全国一覧」が公表されました。

 令和4年度の地域別最低賃金の改定のポイントは、

●47都道府県で、30円~33円の引上げ(引上げ額が30円は11県、31円は20都道府県、32円は11県、 33円は5県)
●改定額の全国加重平均額は961円(昨年度は930円)
●全国加重平均額31円の引上げは、昭和53年度に目安制度が始まって以降で最高額

<令和4年度地域別最低賃金改定状況>

https://www.mhlw.go.jp/stf/seisakunitsuite/bunya/koyou_roudou/roudoukijun/minimumichiran/


 

2022年09月20日

2023年4月、雇用保険料率が1.35%から1.55%に引上げの見通し

労働政策審議会の部会は、今年4月から失業等給付分の雇用保険料率を0.2%引き上げ、法律上の原則どおり0.8%にすることを了承しました。引上げ後の雇用保険料率は(事業主+労働者負担)計が1.35⇒1.55%となります。

2023年01月15日

産後パパ育休の育休給付金の支給引上げ検討

政府は、産後パパ育休の育児休業給付金の支給水準について、休業前賃金の80%程度(現行67%)への引上げを検討します。休業中の社会保険料の免除と合わせて、一定期間(1カ月)実質的に休業前賃金を100%保障する案となっています。加えて、女性の育休中の支給水準も一定期間引き上げ、実質全額保障期間を設けることも検討します。17日に首相が会見で表明し、3月中にも取りまとめる少子化対策のたたき台に盛り込まれる見通しです。異次元の政策になるか否か。

2023年03月18日

健康保険法の改正案が成立

一定以上の収入がある75歳以上の医療保険料を引き上げる健康保険法などの改正案が、参院本会議で可決、成立しました。75歳以上も出産育児一時金の財源の一部を負担すること等により現役世代の負担軽減をはかるもよう。改正により75歳以上の約4割が負担増となり、25年度の保険料は年収200万円の人で年3,900円増、年収400万円の人で年14,000円増となる見通しです。

2023年05月23日

10月からの全国最低賃金は1,000円への引き上げ

2023年度の最低賃金について、中央最低賃金審議会の小委員会は7月28日、全国加重平均で41円(4.3%)引き上げることを目安として取りまとめました。 前年度の961円に対して今年度は1,002円となり、全国平均での時給が初めて1,000円を超えることになります。

2023年09月12日

育休の業務代替手当、中小企業向け助成額10倍増へ

厚生労働省は、育児休業者の仕事を代替する同僚に手当を支給する中小企業向けの助成額を2024年度から拡充する。現在の10万円から最大125万円に増やす方針。1カ月10万円、12カ月までを上限に育休の取得期間に応じて支給する。育休社員の代替要員として新規に雇用した場合の助成額も引き上げる。現在は最大50万円支給されるが、およそ3割増の最大67.5万円にする。雇用期間は最短7日から最長6カ月以上までで、代替期間に応じた額を払う。

2023年09月13日

週10時間労働で雇用保険に

政府が雇用保険の加入要件である週の労働時間を現行の「20時間以上」から「10時間以上」に緩和する方向で検討していることが分かりました。パートら短時間労働者約500万人の加入が見込まれ、失業や育児休業に伴う給付を受け取れるようにするのが目的。働き方の多様化を踏まえ、雇用のセーフティーネットを強化して収入を安定させ、安心して出産や子育てができる環境をつくることを目指しているようです。

2023年11月22日

キャリアップ助成金(正社員コース)拡充

「 キャリアアップ助成金」は、非正規雇用労働者の会社内でのキャリアアップを促進するため、正社員化、処遇改善の取り組みを実施した事業主に対して助成金を支給する制度です。

令和5年11月29日以降に正規雇用労働者へ転換すると、6カ月後に40万円、その後6カ月後に40万円が支給されることになりました(現行は6カ月後に57万円)

また、新規にこのキャリアップ助成金の取り組んだ会社は、20万円(1会社1回)が支給されます。

当事務所でも詳細をご説明させて頂いておりますので、ぜひご利用ください。

2024年01月21日

中小企業等賃上げ・人材確保環境整備応援事業補助金について

現在、滋賀県商工観光労働部労働雇用政策課の主催で、中小企業の経営改善や労働者の所得向上を図るため、県内中小企業等が行う計画的な賃上げや人材確保に向けた就業規則等の見直しについて、その実施に要する経費の一部を補助する補助金制度があります。

事業所では雇用関係の助成金を取り組むにあたり、就業規則を改定する機会が多く、その都度、専門家に頼むと費用がかかります。こういうお悩みの際に、活用されてみてはいかがでしょうか。

 


 

2024年05月23日

令和6年10月から短時間労働者の社会保険の適用拡大

現在、厚生年金保険の被保険者数が101人以上の企業等で週20時間以上働く短時間労働者は、厚生年金保険・健康保険(社会保険)の加入対象となっています。
この短時間労働者の加入要件がさらに拡大され、令和6年10月から厚生年金保険の被保険者数が51人以上の企業等で働く短時間労働者の社会保険加入が義務化されます。

また、特定適用事業所に勤務する以下の条件にすべて該当する方が短時間労働者として加入対象となります。

①週の所定労働時間が20時間以上
②所定内賃金が月8.8万円以上
③2か月を超える雇用が見込まれる
④学生でない

 

2024年08月01日

令和6年改正育介休業法 柔軟な働き方を実現するための措置

厚生労働省から、「令和6年改正育児・介護休業法等」による改正規定の詳細を定める改正政省令等が、令和6年9月11日付けの官報に公布されました。

「柔軟な働き方を実現するための措置等」の創設など)の施行期日を「令和7年10月1日」とするもの。

①「柔軟な働き方を実現するための措置」の創設

3歳以上の小学校就学前の子を養育する労働者に関し、事業主が職場のニーズを把握した上で、柔軟な働き方を実現するための措置を講じ(※)、労働者が選択して利用できるようにすることを義務付ける。

※始業時刻等の変更、テレワーク、短時間勤務、新たな休暇の付与、その他働きながら子を養育しやすくするための措置のうち事業主が2つを選択

また、当該措置の個別の周知・意向確認を義務付ける。

② 妊娠・出産の申出時や子が3歳になる前の個別の意向聴取・配慮

妊娠・出産の申出時や子が3歳になる前に、労働者の仕事と育児の両立に関する個別の意向の聴取・配慮を事業主に義務付ける。

2024年09月13日

令和7年度の雇用保険率を公表 前年度から0.1%引き下げ

厚生労働省から、「令和7年度の雇用保険料率について」として、リーフレットが公表されました(令和7年2月7日公表)。

令和7年度の雇用保険料率(雇用保険率)は、令和6年度から1/1000(0.1%)の引き下げとなりました

●令和7年度(令和7年4月1日~令和8年3月31日まで)の雇用保険料率

・一般の事業………14.5/1000〔うち労働者負担 5.5/1000・事業主負担 9/1000〕
・農林水産業等……16.5/1000〔うち労働者負担 6.5/1000・事業主負担 10/1000〕
・建設業……………17.5/1000〔うち労働者負担 6.5/1000・事業主負担11/1000〕

2025年02月11日

令和7年6月1日から改正労働安全衛生規則が施行されます

「労働安全衛生規則の一部を改正する省令(令和7年厚生労働省令第57号)」により、労働安全衛生規則612条の2が新設され、令和7年6月1日から施行されます。
これは、職場における熱中症対策を強化するもので、その規定の概要は次のとおりです。

[義務化の主な内容]
「見つける」→「判断する」→「対処する」
1. 熱中症の恐れがある労働者を早期発見し、社内で報告するための体制整備
2. 重症化を防ぐための応急処置や医療機関への搬送など手順の作成
3. それらの内容の関係者への周知

 

次の1.、2.の事項を事業者に義務付ける

1. 熱中症を生ずるおそれのある作業(※)を行う際に、次の①又は②の者がその旨を報告するための体制(連絡先や担当者)を事業場ごとにあらかじめ定め、関係作業者に対して周知すること
① 熱中症の自覚症状がある作業者
② 熱中症のおそれがある作業者を見つけた者

2. 熱中症を生ずるおそれのある作業(※)を行う際に、次の①~④など、熱中症の症状の悪化を防止するために必要な措置に関する内容や実施手順を事業場ごとにあらかじめ定め、関係作業者に対して周知すること
① 作業からの離脱
② 身体の冷却
③ 必要に応じて医師の診察又は処置を受けさせること
④ 事業場における緊急連絡網、緊急搬送先の連絡先及び所在地等

※熱中症を生ずるおそれのある作業……WBGT(湿球黒球温度)28度又は気温31度以上の作業場において行われる作業で、継続して1時間以上又は1日当たり4時間を超えて行われることが見込まれるものをいう。

なお、今回発出された通達では、「改正により新設される労働安全衛生規則第612条の2は、労働安全衛生法第22条に基づくものであり、個々の事業者に対し、措置義務が課されるものであること」と説明されています。

この労働安全衛生法第22条には、罰則が設けられており、同条の規定に違反した者は、6月以下の懲役又は50万円以下の罰金に処することとされています(労働安全衛生法第119条第1号)。

2025年05月30日

スポットワークの留意点について

厚生労働省は、タイミーなどの会社が運営する、「スポットワーク」いわゆる「隙間バイト」における留意事項等を取りまとめた労働者及び使用者向けのリーフレットを作成し公表しました。

労働契約の成立時期について、「特段の合意がない限り、スポットワーカーが応募した時点で成立する」との見解を示しました。また、労働契約成立後に事業主の都合で休業させたり仕事を早上がりさせたりする場合に、休業手当を支払う必要があることも明記しました。

 


2025年07月17日

健康保険19歳以上23歳未満の被扶養者に係る認定について

令和7年度税制改正において、特定扶養控除の要件の見直し等が行われたことを踏まえ、被扶養者としての届出に係る方の収入要件について、下記の通り取り扱いが変更されました。

1.見直しの概要

・対象者が19歳以上23歳未満である場合の収入要件

  従来の年間収入130万円未満→150万円未満に変更

2.本見直しにかかる対象者

・年齢19歳以上23歳未満の親族である扶養認定対象者。

ただし、被保険者の配偶者(事実上婚姻関係と同様の事情にある方を含む。)は除きます。

なお、学生であることの要件は求められず、その年の12月31日現在の年齢で判断いたします。

3.適用年月日

・原則、令和7年10月1日以降より見直し後の基準を適用。

 

昨今は、対象年齢の方がアルバイト等の収入が130万円を超えてしまうことを心配されていましたが、今後は年間収入が150万円未満までなら、今まで通り、親御さんの健康保険被扶養者認定されることになります。

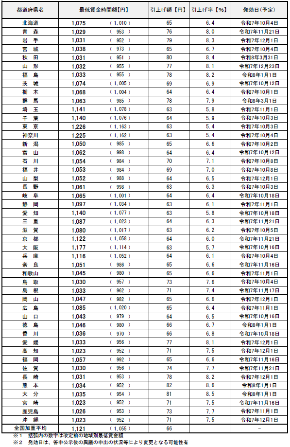
2025年08月11日

令和7年度の地域別最低賃金額改定

令和7年度の地域別最低賃金額改定に向けて、すべての都道府県で答申が出そろいました。全国平均は1121円と、前年度から66円アップ。引き上げ幅は過去最大となります。例年は10月以降の発効ですが「各地方最低賃金審議会が実態に即して発効日を柔軟に決定することが望ましい」という意見が出ており、引き上げは10月1日から2026年3月31日までに順次発効予定です。

2025年09月20日

令和8年度の雇用保険料率 前年度から下がる

厚生労働省は12月19日、令和8年度の雇用保険料率を現在より0.1%引き下げ1.35%と決めました。引き下げは2年連続。失業手当に使う「失業等給付」の料率が下がります。保険料率の引き下げで、物価高による働き手の負担軽減や企業側賃上げの後押しにつなげるもよう。

労働者負担分雇用保険料は5.5/1,000→5/1,000となります。

2025年12月23日

令和8年4月から「子ども・子育て支援金制度」が始まります

「子ども・子育て支援金制度」は、全ての世代や企業から支援金拠出により、子育て施策の拡充に充てるもので、こどもや子育て世帯を社会全体で支える制度です。
この支援金は、児童手当の拡充、妊婦のための支援給付、育児時短就業給付、こども誰でも通園制度、育児期間中の国民年金保険料減免などに活用されます。

一般の会社員さんは、令和8年4月分(5月納付分)毎月の社会保険料と合わせて支援金が給与から負担されることになります。

2026年02月24日